Dalam ilmu Matematika terdapat materi deret Fibonacci. Penemunya adalah Fibonacci, dia adalah seorang ahli matematika Italia yang pernah hidup pada abad pertengahan di Aljazair. Semasa kecilnya pernah berguru kepada seorang ahli matematika Muslim, hingga akhirnya Fibonacci membawa ilmu Golden Ratio yang mengguncangkan Eropa dan dunia. Golden Ratio benar-benar terobosan ilmu pengetahuan yang mencengangkan. Kita dapat melihat keajaiban dari bukti-bukti ilmiah luar biasa dari misteri yang tetap tersembunyi di alam semesta, termasuk dalam biologi.
Deret Fibonacci yaitu urutan angka yang diperoleh dari penjumlahan dua angka di depannya, misalnya:
a, b, a+b, b+(a+b), dst…
0, 1, 1, 2, 3, 5, 8, 13, 21, 34, 55, 89, 144, 233, 377, 610, 987 dst…
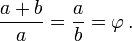
Deret Fibonacci ini menunjukkan keunikan, yakni berkaitan dengan phi (φ). Angka phi adalah angka 1.618. Hubungan phi dengan angka Fibonacci yakni hasil pembagian angka dalam deret Fibonacci dengan angka didepannya. Misalnya 3:2, 34:21, 89:55. Semakin besar angka Fibonacci yang dilibatkan dalam pembagian, hasilnya akan semakin mendekati 1.618.
Keunikan lain dari deret Fibonacci adalah adanya Golden Ratio yang merupakan pembagian angka 1 dengan phi atau phi dikurangi 1. Hasil dari perhitungan tersebut menunjukkan ≈ 0,618. Golden ratio ini dilambangkan dengan Kapital Phi (Φ). Keunikan-keunikan inilah yang membuat deret Fibonacci disebut sebagai “angka Tuhan” ada juga yang menyebutnya sebagai matematika alam.
Rumus:
atau















































Leave a Reply